Calibration score#

Given that 3 quantiles are elicited, the realizations of the calibration questions should fall on one of the 4 inter-quantile intervals with probability vector \(p = (0.05, 0.45, 0.45, 0.05)\).

../_images/P_vector.png

Fig. 82 P-vector#

This probability vector can be compared with the sample distribution of the expert’s inter-quantile intervals \(s(e)\) computed as

\( s_1(e) = \#\{i|x_i \leq 5\% \ quantile\}/N \\ \)

\( s_2(e) = \#\{i|5\% < x_i \leq 50\% \ quantile\}/N \\ \)

\( s_3(e) = \#\{i|50\% < x_i \leq 95\% \ quantile\}/N \\ \)

\( s_4(e) = \#\{i|95\% < x_i \ quantile\}/N \\ \)

\( s(e) = (s_1, s_2, s_3, s_4) \)

../_images/S_vector.png

Fig. 83 Example of an empirical s(e).#

Note that \(s(e)\) is computed per expert. The calibration score of each expert \(Cal(e)\) can be then computed to assess the discrepancy between \(p\) and \(s(e)\) as

\[\begin{split} Cal(e) = 1 - \chi^2_3(2 n I(s,p)) \\ I(s,p) = \sum_{i=1}^4s_i \ln(s_i/p_i) \ \ \ \ \ \nonumber \end{split}\]

where \(n\) is the number of calibration questions. Low scores of \(Cal(e)\) mean that the expert’s assessment is unlikely to be statistically accurate.

Let’s see it with an example#

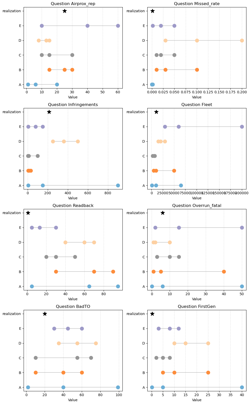
Let’s compute the calibration score for expert E using the 8 seed questions in Fig. 84.

../_images/questions_2.png

Fig. 84 Example of 4 seed questions with 5 experts (A, B, C, D, E). Each panel represents a seed question. The dots represent the 5th, 50th and 95th percentiles given by the expert.#

First, we compute the \(s(E)\) by counting the number of times that the realization falls in a given interquantile range. We obtain

\[ s(E) = (4/8, 3/8, 0, 1/8) \approx (0.5, 0.38, 0, 0.12) \]

Using \(s(E)\), we can compute \(I(s,p)\) as

\[ I(s,p) = 0.5 \ln{\frac{0.5}{0.05}}+0.38 \ln{\frac{0.38}{0.45}}+0 \ln{\frac{0}{0.45}}+0.12 \ln{\frac{0.12}{0.05}} = 1.19 \]

And finally the calibration score for expert E, \(Cal(E)\) as

\[ Cal(e) = 1 - \chi^2_3(2\cdot8\cdot1.19) = 0.00027 \]

Therefore, expert E has a very low calibration score.

It’s your turn now!#

Compute the calibration score for expert A. Which expert is more calibrated when comparing expert A and E? Note that the realization in the top right panel falls in the third interquantile range.

.